Contoh soal persamaan matriks matematika.
Jika kamu mencari artikel contoh soal persamaan matriks matematika terbaru, berarti kamu sudah berada di blog yang benar. Yuk langsung aja kita simak penjelasan contoh soal persamaan matriks matematika berikut ini.
Menyelesaikan Persamaan Matriks From ensiklopediilmupopuler137.blogspot.com
MATEMATIKA EKONOMI 2 TANGGAL. Dalam pelajaran matematika kelas X dibahas penyelesaian persamaan linear dengan menggunakan metode eliminasi dan subtitusi. Suatu matriks dikatakan sama jika matriks-matriks tersebut memiliki ordo yang sama dan setiap elemennya terletak pada baris dan kolom yang sama. Kegunaan lain dari invers matriks adalah untuk menentukan.
Dapatkan pelajaran soal rumus Penerapan Matriks dalam Menyelesaikan Sistem Persamaan lengkap di Wardaya College.
Contoh Soal Matematika Ekonomi Matriks dan Persamaan Kendala. Nilai p yang memenuhi persamaan matriks adalah. Dan membantu kalian dalam menyelesaikan tugas tugas yang di berikan oleh guru guru kalian. Contoh Soal Matematika Invers MatriksA t t A. A 145-48 - 236-42 33235 -3 12 - 9 0 Suatu matriks yang harga determinannya sama dengan nol disebut dengan matrik singular.
Source: encrypted-tbn0.gstatic.com
Persamaan garis g dan garis h berturut-turut adalah Garis g dan garis h berpotongan di titik A titik B p 1 terletak pada g dan titik C 2 q terletak pada garis h. 3x y 2z 16 4x 2y 2z 12 x 2y 3z 9. Matriks operasi matriks rumus contoh soal matriks dan jawabannya lengkap dalam matematika matriks adalah susunan bilangan simbol atau ekspresi yang disusun dalam baris dan kolom sehingga membentuk suatu bangun persegi. Perhatikan contoh soal berikut. Contoh Soal Matriks MatematikaMatematika berasal dari bahasa latin Manthanein atau Mathema yang berarti belajar atau hal yang dipelajariSedangkan matematika di dalam bahasa belanda dikenal dengan sebutan wiskunde yang memiliki arti ilmu pastiJadi secara umum dapat diartikan bahwa matematika merupakan sebuah ilmu pasti yang berkenaan dengan penalaran.
Contoh soal 23.
Materi rumus cara cepat sistem persamaan linear 1 2 3 variabel dengan metode eliminasi substitusi determinan matriks. 21 30 Soal Matriks Determinan dan Invers Beserta Jawaban. 3x y 2z 16 4x 2y 2z 12 x 2y 3z 9. S1 AKUNTANSI MATA KULIAH.
Source: teamhannamy.blogspot.com
1 Jika A x B C maka B A -1 x C. Pembahasan artikel kali ini mengenai contoh contoh soal matriks untuk Sekolah menengah Atas kelas 9. 21 30 Soal Matriks Determinan dan Invers Beserta Jawaban. Dalam pelajaran matematika kelas X dibahas penyelesaian persamaan linear dengan menggunakan metode eliminasi dan subtitusi.
Source: youtube.com
21 30 Soal Matriks Determinan dan Invers Beserta Jawaban. A 145-48 - 236-42 33235 -3 12 - 9 0 Suatu matriks yang harga determinannya sama dengan nol disebut dengan matrik singular. S1 AKUNTANSI MATA KULIAH. Maka nilai determinan matriks A adalah.
Source: youtube.com
2 2p -2 2p -4 p -2 Jawaban. Kegunaan lain dari invers matriks adalah untuk menentukan. Contoh contoh soal ini di berikan agar kalian mudah memahami apa itu matriks dalam pelajaran matematika. Diketahui dua matriks sebagai berikut.
Home contoh matriks contoh soal matematika soal dan pembahasan kesamaan matriks posted by edutafsi on 09 november 2014 9 19 am. Dapatkan pelajaran soal rumus Penerapan Matriks dalam Menyelesaikan Sistem Persamaan lengkap di Wardaya College. Z 3X² Y² 3XY 60X 32Y 100 λ 100 X Y Z 3X² Y² 3XY 60X 32Y 100. Matriks operasi matriks rumus contoh soal matriks dan jawabannya lengkap dalam matematika matriks adalah susunan bilangan simbol atau ekspresi yang disusun dalam baris dan kolom sehingga membentuk suatu bangun persegi.
Maka nilai determinan matriks A adalah.
2 Jika A x B C maka A C x A -1. Home contoh matriks contoh soal matematika soal dan pembahasan kesamaan matriks posted by edutafsi on 09 november 2014 9 19 am. Pembahasan artikel kali ini mengenai contoh contoh soal matriks untuk Sekolah menengah Atas kelas 9. Tujuan penyelesaian sistem persamaan linear dua variabel adalah menentukan nilai x dan y yang memenuhi sistem persamaan itu. Contoh Soal Matematika Ekonomi Matriks dan Persamaan Kendala.
Source: 4soalmatematika.blogspot.com
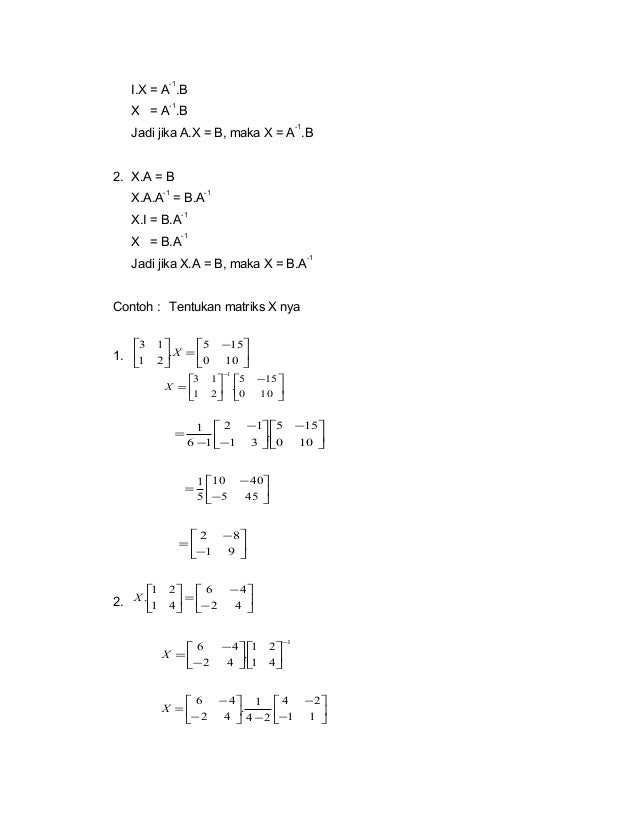
Diketahui dua matriks sebagai berikut. MATEMATIKA EKONOMI 2 TANGGAL. Matriks koefisien dari sistem persamaan tersebut adalah. Pada artikel ini akan disertakan pula rangkuman dan contoh soal matriks untuk membantu mempermudah teman-tmenan. Ada dua macam rumus dasar menyelesaikan persamaan matriks yaitu.
Yuli Kusumawati Catatan Kuliah Matematika Terapan 1 - 12 Contoh. Z 3X² Y² 3XY 60X 32Y 100 λ 100 X Y Z 3X² Y² 3XY 60X 32Y 100. Berikut ini diberikan beberapa contoh dari penjumlahan pengurangan dan perkalian matriks. A matriks A b banyak baris dan banyak kolom matriks A masing-masing c elemen-elemen pada baris pertama d elemen-elemen pada kolom kedua e elemen-elemen a 13 a 22 a 23.
Untuk lebih memahami rumus diatas ikutilah contoh soal berikut ini.
Contoh soal matriks 2 dan pembahasannya. Matriks koefisien dari sistem persamaan tersebut adalah. Contoh Soal dan Penyelesaiannya - Terapan Matriks Sistem Persamaan Linear SPL Pada kesempatan kali ini akan diberikan 8 contoh terapan matriks dalam kehidupan sehari-hari beserta cara untuk menyelesaikan masalah tersebut. Pada artikel ini kita akan menyelesaikan sistem persamaan linear dengan menggunakan matriks.
Source: cute766.info
Contoh Soal Matriks MatematikaMatematika berasal dari bahasa latin Manthanein atau Mathema yang berarti belajar atau hal yang dipelajariSedangkan matematika di dalam bahasa belanda dikenal dengan sebutan wiskunde yang memiliki arti ilmu pastiJadi secara umum dapat diartikan bahwa matematika merupakan sebuah ilmu pasti yang berkenaan dengan penalaran. 21 30 Soal Matriks Determinan dan Invers Beserta Jawaban. Belajar Penerapan Matriks dalam Menyelesaikan Sistem Persamaan dengan video dan kuis interaktif. Postingan ini membahas contoh soal sistem persamaan linear dengan menggunakan matriks dan pembahasannya.
Source: youtube.com
Contoh Soal dan Penyelesaiannya - Terapan Matriks Sistem Persamaan Linear SPL Pada kesempatan kali ini akan diberikan 8 contoh terapan matriks dalam kehidupan sehari-hari beserta cara untuk menyelesaikan masalah tersebut. 3x y 2z 16 4x 2y 2z 12 x 2y 3z 9. Tujuan penyelesaian sistem persamaan linear dua variabel adalah menentukan nilai x dan y yang memenuhi sistem persamaan itu. Ada dua macam rumus dasar menyelesaikan persamaan matriks yaitu.
Source: duniasosial.id
S1 AKUNTANSI MATA KULIAH. Untuk lebih memahami rumus diatas ikutilah contoh soal berikut ini. Ada dua macam rumus dasar menyelesaikan persamaan matriks yaitu. Suatu matriks dikatakan sama jika matriks-matriks tersebut memiliki ordo yang sama dan setiap elemennya terletak pada baris dan kolom yang sama.
Ada dua macam rumus dasar menyelesaikan persamaan matriks yaitu.
Diketahui dua matriks sebagai berikut. Untuk lebih memahami rumus diatas ikutilah contoh soal berikut ini. Nilai p yang memenuhi persamaan matriks adalah. Tentukan matriks koefisien dari sistem persamaan linear berikut. 31 MARET 2020 SOAL 1 Z 3X² Y² 3XY 60X 32Y 100 Dengan kendala X Y 100 Penyelesaian.
Source: teamhannamy.blogspot.com
Belajar Penerapan Matriks dalam Menyelesaikan Sistem Persamaan dengan video dan kuis interaktif. 1 Jika A x B C maka B A -1 x C. Belajar Penerapan Matriks dalam Menyelesaikan Sistem Persamaan dengan video dan kuis interaktif. Maka nilai determinan matriks A adalah. 3x y 2z 16 4x 2y 2z 12 x 2y 3z 9.
S1 AKUNTANSI MATA KULIAH.
Yuli Kusumawati Catatan Kuliah Matematika Terapan 1 - 12 Contoh. Yuli Kusumawati Catatan Kuliah Matematika Terapan 1 - 12 Contoh. Contoh Soal Matematika Invers MatriksA t t A. Contoh Soal dan Penyelesaiannya - Terapan Matriks Sistem Persamaan Linear SPL Pada kesempatan kali ini akan diberikan 8 contoh terapan matriks dalam kehidupan sehari-hari beserta cara untuk menyelesaikan masalah tersebut.
Source: duniasosial.id
Invers dari matriks B ditulis dengan B -1 sedangkan invers dari matriks A ditulis dengan A -1. Tentukan matriks koefisien dari sistem persamaan linear berikut. Diketahui dua matriks sebagai berikut. Contoh Soal Matriks MatematikaMatematika berasal dari bahasa latin Manthanein atau Mathema yang berarti belajar atau hal yang dipelajariSedangkan matematika di dalam bahasa belanda dikenal dengan sebutan wiskunde yang memiliki arti ilmu pastiJadi secara umum dapat diartikan bahwa matematika merupakan sebuah ilmu pasti yang berkenaan dengan penalaran.
Source: caraharian.com
Jika suatu matriks sama otomatis setiap elemen yang seletak nilainya sama. Pembahasan artikel kali ini mengenai contoh contoh soal matriks untuk Sekolah menengah Atas kelas 9. Materi rumus cara cepat sistem persamaan linear 1 2 3 variabel dengan metode eliminasi substitusi determinan matriks. 2 2p -2 2p -4 p -2 Jawaban.
Source: caraharian.com
Jika suatu matriks sama otomatis setiap elemen yang seletak nilainya sama. Contoh soal matriks 2 dan pembahasannya. Ada dua macam rumus dasar menyelesaikan persamaan matriks yaitu. 3x y 2z 16 4x 2y 2z 12 x 2y 3z 9.
Invers dari matriks B ditulis dengan B -1 sedangkan invers dari matriks A ditulis dengan A -1.
Pembahasan artikel kali ini mengenai contoh contoh soal matriks untuk Sekolah menengah Atas kelas 9. Matriks koefisien dari sistem persamaan tersebut adalah. Pada artikel ini kita akan menyelesaikan sistem persamaan linear dengan menggunakan matriks. Yuli Kusumawati Catatan Kuliah Matematika Terapan 1 - 12 Contoh. Contoh Soal Matematika Ekonomi Matriks dan Persamaan Kendala.
Source: soal-soal-kelas.blogspot.com
Maka nilai determinan matriks A adalah. A matriks A b banyak baris dan banyak kolom matriks A masing-masing c elemen-elemen pada baris pertama d elemen-elemen pada kolom kedua e elemen-elemen a 13 a 22 a 23. Contoh soal matriks dan jawabannya kelas 11 - okey teman-teman pada kesempatan kali ini mimin mau share nih kali ini tentang matriks. Materi rumus cara cepat sistem persamaan linear 1 2 3 variabel dengan metode eliminasi substitusi determinan matriks. Home contoh matriks contoh soal matematika soal dan pembahasan kesamaan matriks posted by edutafsi on 09 november 2014 9 19 am.
A matriks A b banyak baris dan banyak kolom matriks A masing-masing c elemen-elemen pada baris pertama d elemen-elemen pada kolom kedua e elemen-elemen a 13 a 22 a 23.
2 Jika A x B C maka A C x A -1. Dan membantu kalian dalam menyelesaikan tugas tugas yang di berikan oleh guru guru kalian. Perhatikan contoh soal berikut. S1 AKUNTANSI MATA KULIAH.
Source: teamhannamy.blogspot.com
Jika suatu matriks sama otomatis setiap elemen yang seletak nilainya sama. Berikut ini diberikan beberapa contoh dari penjumlahan pengurangan dan perkalian matriks. Kegunaan lain dari invers matriks adalah untuk menentukan. Contoh Soal Matematika Invers MatriksA t t A. 31 MARET 2020 SOAL 1 Z 3X² Y² 3XY 60X 32Y 100 Dengan kendala X Y 100 Penyelesaian.
Source: caraharian.com
Maka nilai determinan matriks A adalah. Berikut ini diberikan beberapa contoh dari penjumlahan pengurangan dan perkalian matriks. Persamaan garis g dan garis h berturut-turut adalah Garis g dan garis h berpotongan di titik A titik B p 1 terletak pada g dan titik C 2 q terletak pada garis h. Materi rumus cara cepat sistem persamaan linear 1 2 3 variabel dengan metode eliminasi substitusi determinan matriks. Contoh contoh soal ini di berikan agar kalian mudah memahami apa itu matriks dalam pelajaran matematika.
Source: duniabelajarsiswapintar111.blogspot.com
Jika suatu matriks sama otomatis setiap elemen yang seletak nilainya sama. Contoh contoh soal ini di berikan agar kalian mudah memahami apa itu matriks dalam pelajaran matematika. Invers dari matriks B ditulis dengan B -1 sedangkan invers dari matriks A ditulis dengan A -1. Contoh soal 23. Home contoh matriks contoh soal matematika soal dan pembahasan kesamaan matriks posted by edutafsi on 09 november 2014 9 19 am.
Situs ini adalah komunitas terbuka bagi pengguna untuk membagikan apa yang mereka cari di internet, semua konten atau gambar di situs web ini hanya untuk penggunaan pribadi, sangat dilarang untuk menggunakan artikel ini untuk tujuan komersial, jika Anda adalah penulisnya dan menemukan gambar ini dibagikan tanpa izin Anda, silakan ajukan laporan DMCA kepada Kami.
Jika Anda menemukan situs ini bermanfaat, tolong dukung kami dengan membagikan postingan ini ke akun media sosial seperti Facebook, Instagram dan sebagainya atau bisa juga save halaman blog ini dengan judul contoh soal persamaan matriks matematika dengan menggunakan Ctrl + D untuk perangkat laptop dengan sistem operasi Windows atau Command + D untuk laptop dengan sistem operasi Apple. Jika Anda menggunakan smartphone, Anda juga dapat menggunakan menu laci dari browser yang Anda gunakan. Baik itu sistem operasi Windows, Mac, iOS, atau Android, Anda tetap dapat menandai situs web ini.





